移至網頁之主要內容區位置
::: 臺北市中山區中山國民小學

榮譽榜

賀!!!本校學生參加臺北市110年度多語文學藝競賽捷報~~~~

{{ $t('FEZ002') }} 教務處|

恭賀本校學生參加臺北市110年度多語文學藝競賽捷報連連~~~~


***恭賀***

本校六年三班學生謝依蓉,參加臺北市110年度國民小學本土語學藝競賽【北區客家語情境式演說組】,榮獲第二名,感謝廖均懋老師指導。


***恭賀***

本校四年三班學生簡廷臻,參加臺北市110年度國民小學原住民族語學藝競賽【北區魯凱族語歌唱組】,榮獲第二名,感謝賴玫伶老師指導。

本校四年二班學生王翊潔,參加臺北市110年度國民小學原住民族語學藝競賽【北區鄒族語歌唱組】,榮獲第三名,感謝賴玫伶老師指導。

本校六年二班學生黃保翔,參加臺北市110年度國民小學原住民族語學藝競賽【北區太魯閣族語歌唱組】,榮獲第四名,感謝賴玫伶老師指導。

本校六年三班學生施雅婕,參加臺北市110年度國民小學原住民族語學藝競賽【北區卑南族語歌唱組】,榮獲第四名,感謝賴玫伶老師指導。

本校五年四班學生徐薇濡,參加臺北市110年度國民小學原住民族語學藝競賽【北區阿美族語歌唱組】,榮獲第四名,感謝賴玫伶老師指導。

本校六年八班學生林柏妤,參加臺北市110年度國民小學原住民族語學藝競賽【北區卑南族語歌唱組】,榮獲第五名,感謝賴玫伶老師指導。

本校四年五班學生連婕如,參加臺北市110年度國民小學原住民族語學藝競賽【北區阿美族語歌唱組】,榮獲第五名,感謝賴玫伶老師指導。

本校四年四班學生林柏妏,參加臺北市110年度國民小學原住民族語學藝競賽【北區泰雅族語歌唱組】,榮獲第六名,感謝賴玫伶老師指導。

本校四年三班學生曾歆雁,參加臺北市110年度國民小學原住民族語學藝競賽【北區排灣族語歌唱組】,榮獲第六名,感謝賴玫伶老師指導。

本校六年六班學生林宣辰,參加臺北市110年度國民小學原住民族語學藝競賽【北區泰雅族語歌唱組】,榮獲優等,感謝賴玫伶老師指導。

本校六年三班學生陳泱朵,參加臺北市110年度國民小學原住民族語學藝競賽【北區排灣族語歌唱組】,榮獲優等,感謝賴玫伶老師指導。


***恭賀***

六年六班學生陳博勛,參加臺北市110年度國民小學國語文學藝競賽【北區國語演說組】

六年七班學生李宗諭,參加臺北市110年度國民小學本土語學藝競賽【北區閩南語朗讀組】

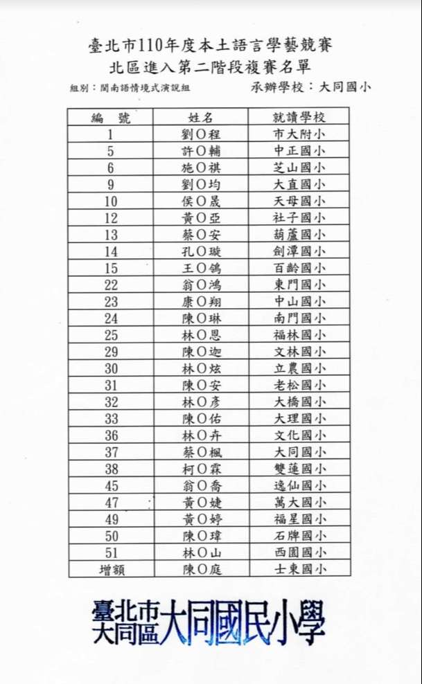
五年四班學生康嘉翔,參加臺北市110年度國民小學本土語學藝競賽【北區閩南語情境式演說組】

五年七班學生陳奕丞,參加臺北市110年度國民小學本土語學藝競賽【北區客家語朗讀組】

以上同學通過第一階段複賽,進入第二階段複賽,感謝蔡宛蓁老師、楊桂芳老師、楊美慧老師、徐秀英老師指導。


感謝所有指導老師一直以來的辛勤付出,感謝所有選手這段時間的努力練習,感謝爸爸媽媽們一路的陪伴與支持。

不論得名與否,孩子們的努力與成長都值得中山全體師生的喝采與掌聲!



{{ $t('FEZ003') }} Invalid date

{{ $t('FEZ004') }} 2021-09-27|

{{ $t('FEZ005') }} 444|